三大类微波介质陶瓷材料
提起电磁波,大家应该并不陌生,而微波就是电磁波中的一种。微波通常是指频率介于300MHz到300Ghz,波长从1m到0.1mm,微波通讯在现代社会生
活中发挥着重要的作用,根据波长可进一步分为亚毫米波、毫米波、厘米波、分米波四个分波段。微波介质陶瓷则是应用于微波通信领域的陶瓷材料之一,
在军用及民用领域有广泛的应用,其主要应用于微波谐振器、滤波器与振荡器,微波电路中的绝缘基片材料,和高性能陶瓷基微波板材。
▽微波频段的四个分波段

▽微波介质陶瓷的应用
微波介质陶瓷的发展动力主要源于微波移动通信的发展需求。为实现微波设备的小型化、高稳定性和廉价的途径是微波电路的集成化,金属谐振腔和金属波
导体积和重量过大,大大限制了微波集成电路的发展,采用微波介质陶瓷制作的谐振器与微波管、微带线等构成的微波混合集成电路,可使器件尺寸达到毫米量
级,这就使微波陶瓷成为实现微波控制功能的基础和关键材料。为此需要开发一系列适合于微波范围内具有高性能、高可靠工作特性的电子材料与元器件,微波
介质陶瓷正是在这一背景下迅速发展起来的电介质材料,具有低微波损耗、高介电常数、频率温度系数小等特点。
近年来微波介质材料的研究开发主要围绕以下两大方向开展。1)追求超低损耗的极限(即最大Qf值);2)探索更高相对介电常数(>100乃至>150)的新材料体系。
前者是为了更好的适应高可靠性与更高频率应用的需要,后者主要是为了满足未来微波器件的小型化要求。
▽高介电常数εr有利于器件的小型化、集成化

三大类微波介质陶瓷
目前已开发的微波介质材料体系种类很多,现以微波介电性能的特点进行分类,将其分成三大类,1)低εr、高Q值材料;2)中等εr和Q值材料;3)
高εr低Q值材料。(PS:关于微波介质陶瓷的三大性能指标介电常数(εr),品质因素Q或介质损耗(tanδ)和谐振频率温度系数(τf)。请看本文第
三部分说明)
▽微波介质陶瓷按介电常数分类


01
低εr、高Q值材料
随着移动通信与军用雷达等微波通讯技术的发展,具有低介电常数(εr<15)、高品质因数(介电损耗tanδ<10-4)与近零谐振频率温度系数(τf≈0)的电介
质陶瓷材料,在微波毫米波通信系统中作为谐振器、滤波器、微波导线与微波基板等元器件的应用研究备受人们关注,低的介电常数能够降低电磁信号
的交互耦合作用,并提高信号传输与响应速度;高品质因数(Qf 值)能够降低信号传输过程中的能量消耗,增加器件的选频性;近零谐振频率温度系数能
够保证器件工作对环境温度漂移的稳定性。
目前该系列陶瓷主要有Al2O3基和硅酸盐基等系列,Al2O3基微波介质陶瓷作为通信介质谐振器主要应用在10~300GHZ微波-亚微米波的频率范围内,
以及应用在时钟的超稳定振荡器上和电路基板上,其介电常数的分布大致为(10~15)。而硅酸盐基微波介质陶瓷主要应用在微波-毫米波频率范围内,
其介电常数的分布为(5~10)。由于固有的烧结温度较低及原材料比较丰富,是目前低介电常数材料研究的热点,各类硅酸盐陶瓷如橄榄石Mg2SiO4、
硅锌石Zn2SiO4、堇青石Mg2Al4Si5O18、透辉石CaMgSi2O6、钙钠斜长石(K,Na)AlSi3O8、钡长BaAl2Si2O8以及Mg2SiO4-Ba3(VO4)2复合陶瓷等低介电
常数微波介质陶瓷被广泛研究。从微波性能的比较来说,[Si,AlO4]四面体环状链接的堇青石具有比[SiO4]四面体链状与骨架状连接的透辉石与长石等硅酸
盐陶瓷高的品质因数,有比[SiO4]四面体岛状分布的镁橄榄石与硅锌石好的谐振频率温度系数可调性。
02
中等εr和Q值材料
中等介电常数和Q值的微波介质陶瓷其介电常数一般40左右,这类微波介质陶瓷的介电常数居中,Q值较高,做成的谐振器选频好、插入的损耗低是
用来做LTCC微波介质天线的首选材料。而BaTi4O9是中等介电常数εr的代表材料,早期的BaTi4O9陶瓷主要应用于第一代无线通信基站中,其结构简单,
相组成随温度变化改变较小,谐振频率温度系数小,其固有的烧结温度较高,经研究发现添加玻璃相后陶瓷的烧结温度可降至900℃左右,并保持一定的微
波介电性能,可满足LTCC产业化的要求。
许多学者分别对不同的低熔点玻璃或氧化物对各种微波介质陶瓷体系进行掺加研究表明,要获得介电常数居中,Q值较高且温度稳定性优异的低温烧结
的微波介质陶瓷可以通过在微波介质陶瓷里加入氧化物(B2O3、ZnO等)或低熔点的玻璃(MgO-CaO-Al2O3-SiO2、BaO-ZnO-B2O3等)来实现,或寻求
新的固有烧结温度比较低的微波介质陶瓷材料体系。
03
高εr低Q值材料
众所周知,微波介质谐振器的尺寸大小由其所用材料的介电常数εr决定,εr越大微波介质谐振器的尺寸越小,因此在信息化浪潮席卷全球的今天,为满
足通信和信息终端的小型化、轻量化和便携化,人们努力寻找介质材料减小谐振电路的尺寸,因而高εr微波介质陶瓷的研究在当今微波介质陶瓷的研究中是
一个十分活跃的分支。高介电微波介质陶瓷主要指介电常数分布在60左右的微波陶瓷,日前人们开展研究工作较多的体系为Li2O-Nb2O5-TiO2系、
BaO-LnIO3-TiO2系及铅基钙钛矿系。此外,研究表明高介电微波介质陶瓷Q值较小,通过适当的掺杂改性可将介电常数提高,在适当的配方和工艺条件下,
同时可以获得较高的Q值和较低的烧结温度。
微波介质陶瓷的三大性能指标
微波介质陶瓷瓷介性能的主要参数和普通电介质材料一样,主要包括介电常数(εr),品质因素Q或介质损耗(tanδ)和谐振频率温度系数(τf)。
01
相对介电常数εr
在微波频率下,相对介电常数εr越大,介质元件尺寸可做得越小(PS:在微波频段εr基本上为定值,可以认为它是不随频率变化的)。在介电常数为εr的介质中,
微波的波长反比于εr的平方根。在同样的谐振频率f0下,介质谐振器的形状与尺寸又取决于微波的波长。因此,在相同的谐振频率f0之下,介电常数εr越大,介
质谐振器的尺寸就越小,电磁能量也越能集中于介质体内,受周围环境的影响也越小。这既有利于介质谐振器件的小型化,也有利高品质化。国际上实用化的εr
已超过100。
▽应用案例:同轴介质谐振器

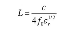
同轴型介质谐振器主要用于移动电话基站和卫星通信,是中间有孔的陶瓷圆柱体,其长度L可见下式(式中c为真空中电磁波的速度)。

与材料的关系:微波介质陶瓷的介电常数主要取决于材料结构中的晶相和制备工艺,与使用频率基本无关。对于微波介质陶瓷,要想获得较高的εr值,
从陶瓷工程学的角度看,除了从组成上考虑微观的晶相类型和组合外,在工艺上使晶粒生长充分外,结构致密也是提高εr值的有效途径。
02
品质因数Q
高Q有利于获得良好的滤波特性及通讯质量,品质因数Q主要受介质损耗(tanδd)、欧姆损耗(tanδc)和辐射损耗(tanδλ)等三个因素影响。公式Q-1=
tanδd+tanδc+tanδλ;早在1969年,Hakki曾研究了各种谐振模式的传输特点,认为材料的Q值主要由介质损耗决定。对于微波介质材料,tanδc与tanδλ可
忽略,Q约与tanδd成反比关系。由于微波介质谐振腔要求tanδd小于10-4量级才有实用价值,所以材料研究中如何提高Q值是一个重要课题。
在微波频段范围内,品质因数Q值与微波频率f有关,Q=1/tanδ =ε’(ω)/ε”(ω) ≈ωT2/(γω)=ωT2/(2πγf),不同的测试频率有不同的Q值,对于同一材料,
为了得到较高的Q值,在较低的微波频率下使用是更为有利的。式中:ε’(ω)---有功介电常数;ε”(ω)---无功介电常数;γ---材料衰减系数;ωT---材料固有角
频率,单位为rad/s;ω---微波频率为f时的角频率,单位为rad/s。在特定的频率下,Q与γ成反比,为了减小材料的tanδ或增大Q值,必须使衰减常数γ尽可
能小。
与材料的关系:在完整的晶体中,γ取决于点阵振动的非谐和项;在多晶陶瓷中,晶粒晶界、杂质和缺陷成为γ增大的主要原因。因此,在微波介质陶瓷
的制造中必须尽可能使用高纯原料,并尽力控制工艺以制出杂质少、缺陷少且晶粒均匀分布的陶瓷。
03
谐振频率温度系数τf
通信器件的工作环境温度是不断变化的,从而影响设备的使用性能。这就要求材料的谐振频率不能随温度的变化太大,通信使用要求接近零的谐振频率
温度系数。谐振频率温度系数τf要为零或近于零,尽可能小的温漂系数可保证元器件的中心频率不随温度变化而产生漂移,提高器件的工作稳定性。

与材料的关系:谐振频率温度系数τf应很小,一般要求τf范围在(-10~+10)X10-6/℃。目前,国际上已实用化的微波介质陶瓷的τf都接近于零。微波介
质陶瓷频率温度系数主要由介质陶瓷的线膨胀系数和介电常数的温度系数决定,单相陶瓷很难满足τf为零的要求,因此,一般是选择采用不同谐振频率温度
系数的两相或多相材料的复合,来实现正负温度系数数值的抵消以达到最终近零的目标。通过元素取代来调节微波介质陶瓷介电响应中离子位移极化的比例,
以获得具有近零τf的微波介质陶瓷。



客服1